2025年9月12日,草地生态过程与机理研究团队依托山西右玉黄土高原草地生态系统国家定位观测研究站和草地生态保护与乡土草种质创新山西省重点实验室在中科院2区期刊Plants(IF2024=4.1)上在线发表研究性论文“Seasonal Dynamics of Ecosystem Carbon Exchange and Their Influencing Factors in Grasslands of Different Degrees of Salinization in Northern China”。草业学院2023级硕士研究生庞高亮为第一作者,草业学院刁华杰副教授为通讯作者。草业学院在读研究生王晶晶、王剑宇、陈熠璁以及草业学院董宽虎教授参与了该论文的工作。研究团队通过野外观测实验,揭示了不同程度盐渍化斑块草地生态系统碳交换的季节动态及其影响因素,主要发现了植物生产力及其地上和地下的分配对盐渍化草地的生态系统碳交换的重要调控作用。该研究对深入理解盐渍化草地生态系统的碳汇潜力以及为盐渍化退化草地碳增汇措施的制定提供了重要的数据基础。

图1 山西右玉黄土高原草地生态系统国家定位观测研究站
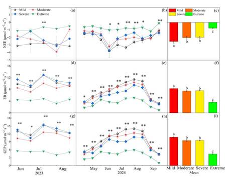
土壤pH对草地生态系统的结构组成和功能具有重要影响。不同程度盐渍化的草地生态系统碳交换的季节动态及其影响因素尚不清楚。根据土壤pH值,将盐渍化草地划分为轻度盐渍化、中度盐渍化、重度盐渍化和重度盐渍化4个梯度。连续监测了2023-2024年生长季的生态系统碳交换(净生态系统碳交换(NEE)、生态系统呼吸(ER)和生态系统总初级生产力(GEP))和相关生物和非生物因子。我们发现NEE、ER和GEP呈现出显著的年际差异和季节动态变化特征。与生长季前期和生长季后期相比,不同程度盐渍化草地间生态系统碳交换在生长季节中期(6-8)差异更大。极度盐渍化显著降低了NEE、ER和GEP,但在中度和重度盐渍化水平之间没有显著差异(图2)。

图2 不同程度盐渍化对生态系统净碳交换、生态系统呼吸、生态系统总初级生产力的影响
研究结果表明极度退化的盐渍化草地中根冠比最高(图3),这强调了植物生产力及其分配对生态系统碳通量的重要调控作用。土壤湿度、土壤温度、地上和地下生物量、根冠比与NEE、ER和GEP均呈显著的相关性。并且冗余分析结果表明,植物根冠比是解释生态系统碳交换的最重要的因素(图4)。综上所述,随着盐渍化程度的增加,生态系统碳交换各个组分均降低,植物生产力及其分配的变化主导了生态系统的碳交换过程。

图3 不同程度盐渍化对地上生物量、地下生物量和根冠比的影响

图4 不同因素对生态系统净碳交换、生态系统呼吸和生态系统总初级生产力的影响的冗余分析
该研究得到国家自然科学基金区域创新联合发展基金重点项目(U22A20576)、国家自然科学基金青年基金项目(32301375)以及山西省基础研究计划(202203021212420)的支持。
参考文献:
Pang GL., Wang JJ., Wang JY., Chen YC., Dong KH., Diao HJ., 2025. Seasonal Dynamics of Ecosystem Carbon Exchange and Their Influencing Factors in Grasslands of Different Degrees of Salinization in Northern China. Plants, 14:2854. https://doi.org/10.3390/plants14182854